Identification of pyrone-type species as the active site for oxygen reduction reaction
Release time:2022-07-14 Hits:

Journal:Chemical Communication
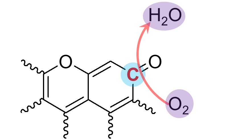
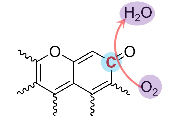
Abstract:A bicyclic pyrone-type species on oxygen-doped carbon catalysts was identified as the active site for oxygen reduction reaction in an acidic solution. It has much higher activity than that of typical nitrogen-doped carbon catalysts (0.219 e.s-1.site-1 vs. 0.021~0.088 e.s-1.site-1 at 0.6 VRHE). The ortho-carbon atom in the carbonyl ring of the pyrone-type species was revealed as the react site by theoretical calculations.
Indexed by:Journal paper
Discipline:Natural Science
First-Level Discipline:Chemistry
Issue:58
Page Number:8998-9001
Translation or Not:no
Date of Publication:2022-07-14
Included Journals:SCI
DOI number:10.1039/D2CC03093D
First Author:Zhao-Hong Sun,Xue Zhang
Co-author:Yong-Ling Men,Yan-Qing Huang,Wen-Na Shi,Jing Yang
Correspondence Author:Xiao-Dong Yang,Zhi-You Zhou
Links to published journals:https://doi.org/10.1039/D2CC03093D