
发表刊物:Chemical Communication
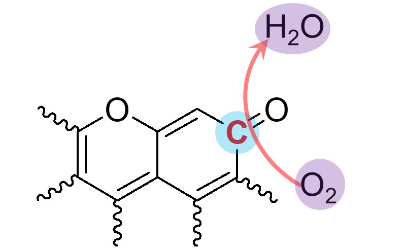
摘要:A bicyclic pyrone-type species on oxygen-doped carbon catalysts was identified as the active site for oxygen reduction reaction in an acidic solution. It has much higher activity than that of typical nitrogen-doped carbon catalysts (0.219 e.s-1.site-1 vs. 0.021~0.088 e.s-1.site-1 at 0.6 VRHE). The ortho-carbon atom in the carbonyl ring of the pyrone-type species was revealed as the react site by theoretical calculations.
论文类型:期刊论文
学科门类:理学
一级学科:化学
期号:58
页面范围:8998-9001
是否译文:否
发表时间:2022-07-14
收录刊物:SCI
DOI码:10.1039/D2CC03093D
第一作者:Zhao-Hong Sun,Xue Zhang
合写作者:Yong-Ling Men,Yan-Qing Huang,Wen-Na Shi,Jing Yang
通讯作者:Xiao-Dong Yang,Zhi-You Zhou
发布期刊链接:https://doi.org/10.1039/D2CC03093D